用praat中的PSOLA算法改变基频



1.用讯飞合成的1声的“书”(shu) ¶

图1

通过F0曲线可以看出,即使是1声的刺激,其F0也有些弯曲。以下的F0变化均基于“书”(shu)这个刺激。

2.改变终点基频,使声调变得完全平直 ¶

图2

使终点基频值等于起点基频值,中间各点的基频值会根据PSOLA算法自动生成。

3.改变终点基频,使声调变成rising tone ¶

图3

(1)终点基频值上升10Hz,使用平直的直线去拟合中间的F0。

图4

(2)终点基频值上升20Hz,使用光滑的曲线去拟合中间的F0,使用这种方法生成的语音更自然。

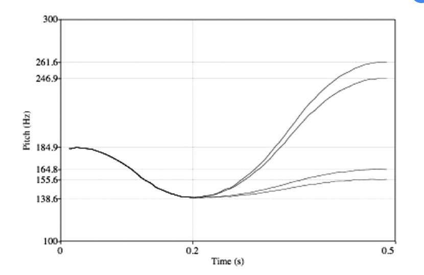
4.原始实验的刺激 ¶

2声和3声刺激的起点都是184.9Hz,在0.2秒处出现转折,转折点的基频为138.6Hz,根据终点的基频高低,将3声条件分为low tone 3和high tone 3,将2声条件分为low tone 2和high tone 2。

图5

图6

根据原始实验刺激,制作了四种条件下“眼”和“岩”的语音。

刺激具体包括:

图7