文献:Foundas, A. L., Bollich, A. M., Feldman, J., Corey, D. M., Hurley, M. M., Lemen, L. C., & Heilman, K. M. (2004). Aberrant auditory processing and atypical planum temporale in developmental stuttering. Neurology, 63(9), 1640–1646. https://doi.org/10.1212/01.wnl.0000142993.33158.2a 论文原文
INTRODUCTION: ¶
发展性口吃特征是在语音元素(包括声音、音节和单词)的表达中不自觉地重复、阻塞或延长。口吃的严重程度和会话语言不流畅的比例在个体之间差异较大。如改变听觉反馈的条件下,口吃个体中观察到的语言不流畅可能会减少。在合唱式朗读和改变听觉反馈等多种条件下,观察到口吃者的语言不流畅可能会减少。听觉系统,在听觉输入的层面上,参与了这两种流利诱导条件。因此,在听觉处理的水平上可能存在缺陷,这些程序至少部分地逆转了这种缺陷。 一种假设是,在延迟听觉反馈(DAF)条件下,听觉信号的改变减少了口吃者的听觉感知缺陷。这种听觉知觉缺陷可能与听觉颞叶皮层解剖异常有关。这些解剖异常可能会诱导非典型的激活-失活模式,或者可能会扰乱整合神经网络协调所需的时间模式。另一种假设可能是处理延迟可能导致声音控制输出的不稳定,口吃行为代表在线尝试纠正这种不稳定。 对于口吃的人来说,听觉皮层的解剖异常可能是功能紊乱的原因。一项研究直接检查了听觉颞皮层的解剖学。在这项研究中,用体积磁共振成像来检查持续性发育性口吃的成年人和匹配的对照组的近侧言语-语言区解剖结构。发现颞平面(PT)在大脑左右半球更大,并且在发育性口吃的成年人中,左侧PT更对称。在连接这部分听觉皮层和额叶运动言语皮层的大脑区域以及额叶运动言语皮层的被盖部也发现了非典型的解剖特征。这些结果首次证明,患有持续性发育性口吃的成年人在听觉和运动语言皮层部分以及相互连接的大脑区域具有非典型的解剖结构。 在对成人持续性发育性口吃的首次解剖研究中,发现PT的大小和不对称是非典型的,但没有检验非典型PT的解剖结构与非典型功能的关系。在一些发展性口吃的个体中发现了中枢听觉处理缺陷,而DAF在许多口吃的人中诱导了流利性,因此,研究者有兴趣了解在改变听觉反馈条件下PT的解剖结构与流利性之间是否存在关系。
本研究: ¶
被试: ¶
样本包括患有持续性发育性口吃(n =14)和年龄匹配的对照组(n =14),均以英语为母语。每组包括7名右撇子男性,3名右撇子女性和4名左撇子男性。样本中的口吃者仅限于患有持续性发育性口吃的成年人。口吃严重程度使用口吃严重程度量表第3版(SSI-3)来确定,口吃组的个体分别有从轻度到严重的口吃障碍。SSI-3提供了从0到56分的连续流畅性测量,也提供了口吃严重程度的分类测量(轻度,中度,中度-重度,重度)。
操作: ¶
所有测试都在隔音房间中进行,包括听力筛查测试和实验程序。 实验程序:让受试者在三种条件下阅读文章:基线、未改变反馈(NAF)和DAF。在基线条件下,受试者不戴耳机阅读文章。使用PhonicEar miniDAF单元(型号为PM505)进行NAF和DAF条件。在NAF条件下,参与者通过耳机听到自己的声音被放大。在DAF条件下,参与者在发出语音后120毫秒通过耳机听到放大的自己的声音。在这三种情况下,受试者要以尽可能正常的速度阅读,同时尽量保持最大的流畅性。每个受试者都要读同样的三篇文章,但文章的顺序和阅读条件在不同受试者和组之间是随机的。散文段落在音节数量(平均250个)上匹配,在主题和句法复杂性上相似。用摄像机和录音机录下了三个任务的表现,以便转录和评分。两名评委使用录像带和磁带作为备份,对所有的演讲样本进行打分。对口吃频率(%音节)、口吃严重程度(SSI评分)和阅读时间(阅读时间)三个流畅性指标进行评分。口吃频率包括在阅读文章时的延长、部分单词重复和停顿的数量(根据文章中音节总数的百分比计算)。按照标准程序计算口吃严重程度评分,阅读时间以秒为单位。使用通用电气1.5 Tesla Signa扫描仪(Volumetric MRI )获得神经成像。 PT测量: PT是扁平的三角形平面,由听觉关联皮层(Brodmann’s area [BA] )组成,位于颞上回表面Sylvian裂隙的颞岸。PT从第一Heschl沟延伸至水平Sylvian裂的末端(图1,A和B)。

分析: ¶
数据分析采用三向混合方差分析,组(对照组,发育性口吃)和PT不对称性(左向,右向),听觉反馈条件(基线,NAF, DAF)作为分组因素。PT不对称商(AQs)计算公式如图2所示:

结果: ¶
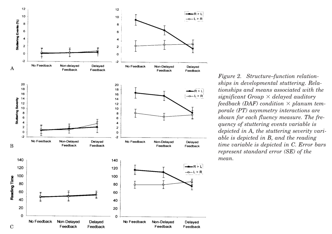
颞平面PT解剖:在每一组中(发育性口吃组,对照组),14名受试者有9名(64%)的PT向左不对称(典型),14名受试者中有5名(36%)的PT向右不对称(非典型),PT不对称模式在两组之间没有显著差异。 测量各组流利性的“显著组×PT不对称×听觉反馈影响“的相互作用支持PT不对称与DAF诱导的流利性变化有关这一假设。 具有非典型右PT不对称的发展性口吃亚组在基线时明显比具有典型左PT不对称的口吃亚组更不流畅。在典型左PT不对称的口吃亚组中,DAF没有诱导流利性,在非典型右PT不对称的口吃亚组中,DAF可诱导流利性。而对照组未受DAF影响,但与基线情况相比,典型左PT不对称的对照组受试者亚组在DAF时明显更不流畅,在对照组中,没有观察到听觉反馈对言语行为的其他显著影响(ps >0.056)。总之,对照组和典型PT不对称的发展性口吃组相对不受DAF影响,而非典型PT不对称的口吃组表现出与DAF相关的显著增强的流利性。非典型解剖的PDS(持续性发育性口吃)受试者的流利性表现提高到典型解剖的PDS受试者水平。图3显示了平均值的汇总,图4显示了所有条件下流畅度组间显著性检验的汇总。



讨论: ¶
对某些持续性发展性口吃患者来说,改变的听觉反馈可以提高其言语流利度,这一点已经得到了充分的证实,但关于提高流畅度的因素存在争议。 一种解释是,听觉信号的改变可能会纠正听觉感知缺陷。研究者假设这种听觉知觉缺陷可能与听觉颞叶皮层的解剖异常有关,如非典型性PT不对称。非典型性结构可诱发非典型性功能,听觉关联皮层功能异常可能会破坏听觉信息向额叶运动区的正常传递,这种干扰可能会扰乱综合神经网络的协调,产生不流畅语音的输出。研究者发现伴有非典型PT不对称的发展性口吃比伴有典型PT解剖结构(即左向PT不对称)的持续性发展性口吃在基线时产生更多的语言障碍,这支持了上述假设。左侧PT是韦尼克区(Wernicke’t area)的一部分,一旦受损,会导致流畅性失语症,听力理解、重复和命名能力受损。病变和功能成像研究表明,该区域执行语音和词法分析或解码。左侧PT不对称在大多数成年人中都有很好的记录,胎儿在语言习得前就存在平面不对称。此外,听觉关联皮层内固有回路和细胞结构区域的左不对称已被报道。倾向于认为PT的独特形态特征可能代表了语言的分类神经基底。本研究结果表明,听觉处理缺陷与非典型性PT解剖直接相关,这表明PT的神经缺陷可能是部分个体口吃的原因。 基于受试者对DAF、PT不对称性和口吃严重程度的反应,研究结果表明口吃的人至少有两个生物学上的亚群。因此,行为和语音疗法对口吃的影响可能因亚群的不同而不同。在一组中,口吃可能与语言监测系统缺陷有关:连续流畅的语音输出依赖于听觉反馈,这种反馈在线监测和纠正错误,口吃行为可能是由听觉感知缺陷引起的,这些缺陷破坏了闭环系统中的听觉自我监控。口吃可以被建模为干扰听觉反馈的结果。本研究以非典型PT解剖鉴定的亚组可能代表了具有这种自我监控或反馈知觉障碍的独特生物学亚组。然而,在发展性口吃组中,非典型性的PT解剖结构和DAF诱导的流利性均未观察到。因此,听觉处理方面的缺陷不能作为所有持续性发展性口吃患者的口吃原因。而可能存在一个发育性口吃亚群,其他神经系统是口吃的主要原因。
基于语音输出的双环计时理论的解剖模型如图6所示。
