双语者大脑中的语言控制



Crinion, J., Turner, R., Grogan, A., Hanakawa, T., Noppeney, U., Devlin, J. T., Aso, T., Urayama, S., Fukuyama, H., Stockton, K., Usui, K., Green, D. W., & Price, C. J. (2006). Language control in the bilingual brain. Science (New York, N.Y.), 312(5779), 1537–1540. https://doi.org/10.1126/science.1127761

双语大脑如何区分和控制使用何种语言?以前的功能成像实验没能解决这个问题,因为熟练双语者在进行测试时,不管是哪一种需要对应的大脑区域,都会被激活。研究者发现,面对语言和词义的变化,左侧尾状核的神经元反应较灵敏。通过对德英、日英双语者进行测试,研究者发现左侧尾状核在监测和控制语言使用上有着普适性。

该文是双语控制神经机制研究的经典文献之一,发表在顶级期刊Science上。文章提出的科学问题是“双语大脑如何区分和控制使用何种语言?”,这是较早使用功能性磁共振技术对双语控制的神经机制进行具体研究的文章。在具体实验中,被会看到呈现出的顺序词对。他们得到的指示是:忽略第一个(启动词),然后根据第二个[目标词,字母大写(英语和德语)或大字体(日语)(材料与方法)]。启动-目标词对包含语义相关的(bathtub-SHOWE)和语义不相关的(spoon-SHOWER),利用人们对其的反应时间,来确定启动词对目标词的影响。下一步实验的启动-目标词对有同种语言的,也有不同种语言的。通过比较语义启动的效果,测定语言相关的语义反应。三组双语精通者(的测试)保证了观察效果的可靠性਀普遍性(表S1)。一组德英双语者(n=11)进行了PET实验,而第二组德英双语者(n=14)和第三组日英双语者(n=10)则参加了fMRI实验。首先,就两种语言展示了同样的行为效应和镜象效应。双语实验组的行为分析和成像数据清晰展示了对目标反应的启动效应。通过对实验数据的分析,表明左前颞叶上的语义启动是一种语言依赖,这与两种语言集中在同一神经网的概念相符。最重要的是,全脑分析显示语言依赖的语义启动只在左尾头部可以观察到。从这所有的三组实验来看,当启动语言和目标语言相同时(图4),语义相关的词汇则降低了左尾的活跃性。同一种语言中,实验组特有的假定值在词义不相关的情况下比词义相关词对的值更大。通过实验观察到,当启动词和目标词语义不同或在不同语言中,左尾状核处与语言相关的神经元反应最为强烈(图4)。在词意层面,这种现象与语言相关反应一致。

通过功能神经成像证实了左侧尾状核头部的神经元反应对文字的语义内容和语言都是敏感的。结论是,左侧尾状核在语言控制中起着关键的作用。

图1

图1: 对两种语言常见的神经和行为效应(左)。三组被试中涉及两种语言基准线的语义决策激活(红色到黄色代表意义价值从 P<10-3到 P<10-6,未校对。)(A)德—英功能磁共振成像(n=14)(B)日—英功能磁共振成像(n=9)(C)德—英正电子发射断层扫描(n=11)。(右)每种语言进行语义决策的反应准确性和反应时间。E 表示英语;G,德语;J,日语。被试组平均准确度(包括反应时间不超过两秒的试次)为:英语79%,德语和日语 77%,但是平均响应时间(不包括反应时间超过两秒的试次)为:英语 1249 毫秒,德语和日语 1232 毫秒。误差条给出平均数标准误差。

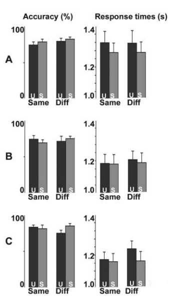
图2

图2:语义启动对行为反应的影响。每组被试的反应准确性(左)和反应时间(右)。(A)德—英功能磁共振成像(B)日—英功能磁共振成像(C)德—英正电子发射断层扫描。相同语种(Same)或不同语种(Diff)的素和指标以及不相关(U)或语义相关(S)的素和指标。在各组被试或全部被试(P>0.05)中,(反应)准确性的任何变量都无显著影响。误差条给出平均数标准误差。

图3

图3: 左前颞叶独立于语言的神经(元)顺应。(左)对于 Glass brain 矢状面的所有功能磁共振成像数据(上)(P<0.001),不相关-语义相关词对的激活,显示出在纵向层面三个双语组中,效果最为显著的地方位于左前颞叶(Z=-36mm;图像的左侧对应大脑的左半球)。(A)德—英功能磁共振成像(B)日—英功能磁共振成像(C)德—英正电子发射断层扫描。(右)关于基准线的参数估计,在不相关-语义相关激活的峰值(见图2缩写)。误差条给出平均数标准误差。X,Y,Z 坐标明细(蒙特利尔神经学研究所标准空间);标准正态分布坐标值(Z score);假定值(P value)(未校对);体素值在 P<0.05(未校对)情况下以及全部功能磁共振成像数据分别为-32,4,-36;3.1;0.0001 和 135;标准正态分布坐标值(Z score);假定值(P value)(未校对);体素值在 P<0.05(未校对)情况下以及德语功能磁共振成像数据分别为-34,-4,-38;2.6;0.005和 151;标准正态分布坐标值(Z score);假定值(P value)(未校对);体素值在 P<0.05(未校对)情况下以及日语功能磁共振成像数据分别为-32,4,-36;2.4;0.007 和 22;标准正态分布坐标值(Z score);假定值(P value)(未校对);体素值在 P<0.05(未校对)情况下以及德语电子发射断层扫描数据分别为-32,-12,-36;2.7;0.004 和 62。每组作用的结合概率相乘(0.005×0.007×0.004)为 1.4×10-7,对应的标准正态分布坐标值(Z score)为 5.14。注意在电子发射断层扫描和功能磁共振成像结果中峰值的不同位置很可能反应了该区域在功能磁共振成像实验中磁化系数伪影的失真(37)。

图4

图4:(A 到 C)左尾状核语言相关的神经元顺应。仅在相同语种中,不相关-语义相关激活(如图三所示)。Glass brain (顶部)的矢状面显示所有功能磁共振成像数据(P <0.001)的平均值并指出整个大脑中效果最为显著的地方位于左尾状核。x, y, z 坐标明细; 标准正态分布坐标值(Z score);假定值(P value)(未校对);体素值在 P<0.05(未校对)情况下以及全部功能磁共振成像数据分别为-6,8,8;3.6;0.001 和 171;标准正态分布坐标值(Z score);假定值(P value)(未校对);体素值在 P<0.05(未校对)情况下以及德语功能磁共振成像数据分别为-8,12,6;2.4;0.008 和 48;标准正态分布坐标值(Z score);假定值(P value)(未校对);体素值在 P<0.05(未校对)情况下以及日语功能磁共振成像数据分别为-6,6,8;3.3;0.001 和 146;标准正态分布坐标值(Z score);假定值(P value)(未校对);体素值在 P<0.05(未校对)情况下以及德语电子发射断层扫描数据分别为-4,14,2,2.9;0.003 和 37。最后,(不相关-语义相关)×(相同语种-不同语种)标准正态分布坐标值(Z score)和交互作用的概率:德语功能磁共振成像分别为 1.5 和 0.074;日语功能磁共振成像分别为 3.1 和 0.001;德语电子发射断层扫描分别为 2.8 和 0.003。交互作用的结合概率为2.2×10-7,对应的标准正态分布坐标值(Z score)为 5.05